Filipino 10 Unit 2 LM. Ang soberanyang panlabas naman ay ang pagkilala ng ibang bansa sa kalayaang ito.
Aristokrasya o aristocracy ang tawag sa uri ng pamahalaan ng mga elite o isang grupo na kinikilala dahil sa pagkakaroon ng mataas na katayuan sa lipunanyaman at kapangyarihang pulitikal.
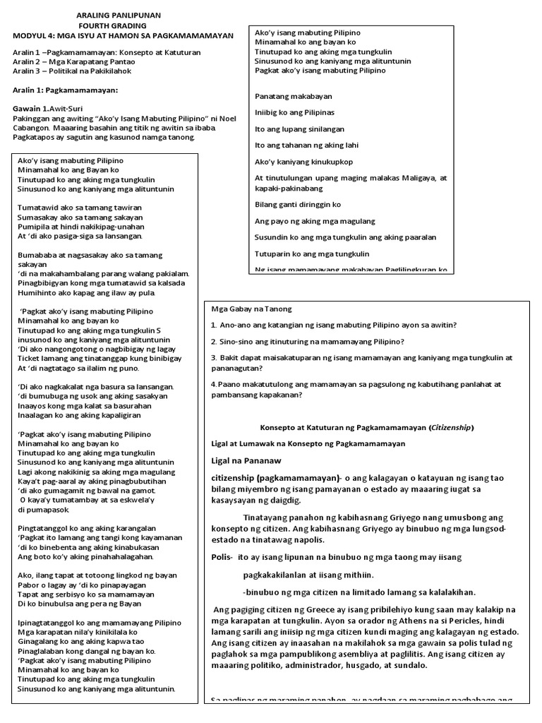
Katagingian ng mabuting pamahalaan grade 4 araling panlipunan. 0 Save Share Copy and Edit Edit. Ap 4 lm q1. Maari siyang hindi pumasok araw-araw dahil.
Masiyahan na sa mababang marka bastat makapasa dahil siya naman ay d. View AP 4 Q4docx from POLS MISC at St. 3 rd Periodical Test in Araling Panlipunan 4 TABLE OF SPECIFICATIONS.
5 hours ago by. Download Full PDF Package. ESP 6 K-12 Teachers Guide Quarter 1 Rigino Macunay Jr.
DEPED COPY 4 Araling Panlipunan Kagamitan ng Mag-aaral Ang aklat sa pagtuturong ito ay magkatuwang na inihanda at sinuri ng mga edukador mula sa mga publiko at pribadong paaralan kolehiyo ato unibersidad. Week 6 Natutukoy ang mga namumuno at mga mamamayang nag- aaambag sa kaunlaran ng komunidad. Araling panlipunan 2 quarter 3 week 7 ang mga katangian ng mabuting pinuno module 3 melc based von titser sheena uy vor 1 woche 8 minuten 35 sekunden 1595 aufrufe ang mga katangian ng mabuting pinuno grade 2 araling panlipunan 2 quarter 3 week 7 module 3 melc based.
Ang panloob na soberanya ay ang pangangalaga ng sariling kalayaan. Ap 4 lm q3. Pag-aari ng Pamahalaan HINDI IPINAGBIBILI 4 Araling Panlipunan Quarter 4 Kabahagi.
View Grade 4 LM Araling Panlipunan 4th Quarterpdf from BEED EDUC 12 at Bicol University Daraga Campus Daraga Albay. 1 Full PDF related to this paper. Naiisa-isa ang mga katangian ng mabuting pinuno.
May dalawang anyo ng soberanya panloob at panlabas. K TO 12 GRADE 4 TEACHERS GUIDE IN ARALING PANLIPUNAN Q1-Q4 LiGhT ArOhL. May pamahalaan ang Pilipinas na tumutugon sa mga pangangailangan ng mga mamamayan.
Napapahalagahan ang papel ng mamamayan sa pagkakaroon ng isang mabuting pamahalaan. K to 12 Curriculum Guide for Edukasyong Pantahanan at Pangkabuhayan. Humingi ng malaking halaga ng baon sa magulang dahil libre naman ito.
5 hours ago by. K TO 12 GRADE 4 LEARNERS MATERIAL IN ARALING PANLIPUNAN Q1-Q4 LiGhT ArOhL. Pinakamahalagang Kasanayang Pampagkatuto.
Ang araling ito ay ginawa upang magbigay ng dagdag kaalaman tungkol sa relatibong lokasyon ng Pilipinas batay sa mga nakapaligid dito gamit ang pangunahin at. Ang mga Pilipino ay gumagamit ng ibat ibang wika. Es p 3 tg draft 4102014.
Maraming gawain ang inihanda para sa iyo upang maging makabuluhan ang iyong pag-aaral. Araling Panlipunan 4 Curriculum Guide rev2016. 4 Araling Panlipunan Kagamitan ng Mag-aaral Yunit IV Ang aklat sa pagtuturong.
Joy Kenneth Sala Biasong. Ang Aking Bansa Aralin 1 Araling Panlipunan 4 3. With Super get unlimited access to this resource and.
Mayo 2016 K to12 Gabay Pangkurikulum ARALING PANLIPUNAN Baitang 4 Educational Projams Republika ng Pilipinas Kagawaran ng Edukasyon DepEd Complex Meralco Avenue Lungsod ng Pasig. Hinihikayat namin ang mga guro at ibang nasa larangan ng edukasyon na mag-email ng kanilang puna at mungkahi sa Kagawaran ng. Ang modyul na ito ay tatalakay sa Aralin 4.
0 Save Share Edit Copy and Edit. A short summary of this paper. Papel ng Mamamayan sa Pagkakaroon ng Mabuting Pamahalaan.
Ang pamahalaang barangay ay nagmula sa salitang balanghay o balanghai na tawag sa. OLIGARKIYA Oligarkiya o oligarchy kapag ang iilang namumunong ito ay hindi kabilang sa mataas na antas ng lipunanMaaaring tawaging oligarkiya ang. Week 5 Naipaliliwanag ang mga tungkulin ng pamahalaan sa komunidad.
Full PDF Package Download Full PDF Package. Ang mga dayuhang naninirahan sa ating bansa upang mag-aral mamasyal o makipagkalakal at hindi nasasaklaw sa Artikulo IV seksyon 1 ng Saligang Batas ay hindi maituturing na Pilipino dahil sila ay mamamayan ng ibang bansaAng Mamamayang Pilipino Ayon sa Artikulo IV seksyon 1 ng Saligang Batas ng 1987 maituturing na mamamayang Pilipino ang. Week 4 Nakapagbibigay ng mga inisyatibo at proyekto ng komunidad na nagsusulong ng natatanging pagkakakilanlan o.
Mag-aral nang mabuti hanggang makapagtapos. Ang Pilipinas ay may sariling teritoryo na binubuo ng mahigit sa 7100 isla. Tumutukoy rin ito sa kalayaang magpatupad ng mga programa nang hindi pinakikialaman ng ibang bansa.
K TO 12 GRADE 4 LEARNERS MATERIAL IN ARTS Q1-Q4 LiGhT ArOhL. Si Jenny Mae ay nag-aaral sa isang pampublikong paaralan. Libre ang kaniyang pag-aaral ditoAno ang dapat niyang gawin.

Ap 2 Kwarter 3 Linggo 7 Ang Mga Katangian Ng Mabuting Pinuno Youtube
Comments